Hope Scholarship College Gpa Requirements . hope scholarship academic eligibility requirements as an entering freshman at an eligible college or university in georgia. If i decide to take a semester. to qualify for a hope grant or hope career grant, students are not required to graduate from high school with a specific gpa; Eligibility can be checked after you have attempted 30. a hope scholarship recipient must graduate from high school with a minimum 3.00 grade point average (as calculated by gsfc) and. students who graduated from high school with a high school core curriculum gpa of at least 3.0 on a true. do i need to maintain a minimum grade point average (gpa) to retain my hope scholarship? hope scholarship may be gained as a college/university student. the hope scholarship requires a student to maintain a minimum 3.0 calculated hope gpa at designated checkpoints.
from chestateecounseling.weebly.com
students who graduated from high school with a high school core curriculum gpa of at least 3.0 on a true. hope scholarship may be gained as a college/university student. to qualify for a hope grant or hope career grant, students are not required to graduate from high school with a specific gpa; Eligibility can be checked after you have attempted 30. hope scholarship academic eligibility requirements as an entering freshman at an eligible college or university in georgia. the hope scholarship requires a student to maintain a minimum 3.0 calculated hope gpa at designated checkpoints. do i need to maintain a minimum grade point average (gpa) to retain my hope scholarship? If i decide to take a semester. a hope scholarship recipient must graduate from high school with a minimum 3.00 grade point average (as calculated by gsfc) and.
Hope Scholarship
Hope Scholarship College Gpa Requirements to qualify for a hope grant or hope career grant, students are not required to graduate from high school with a specific gpa; a hope scholarship recipient must graduate from high school with a minimum 3.00 grade point average (as calculated by gsfc) and. Eligibility can be checked after you have attempted 30. hope scholarship academic eligibility requirements as an entering freshman at an eligible college or university in georgia. hope scholarship may be gained as a college/university student. the hope scholarship requires a student to maintain a minimum 3.0 calculated hope gpa at designated checkpoints. to qualify for a hope grant or hope career grant, students are not required to graduate from high school with a specific gpa; students who graduated from high school with a high school core curriculum gpa of at least 3.0 on a true. do i need to maintain a minimum grade point average (gpa) to retain my hope scholarship? If i decide to take a semester.
From smartscholarshub.com
How To Apply For The HOPE Scholarship A StepbyStep Guide 20232024 Hope Scholarship College Gpa Requirements do i need to maintain a minimum grade point average (gpa) to retain my hope scholarship? hope scholarship academic eligibility requirements as an entering freshman at an eligible college or university in georgia. If i decide to take a semester. to qualify for a hope grant or hope career grant, students are not required to graduate from. Hope Scholarship College Gpa Requirements.
From slidetodoc.com
HOPE Scholarship Information 2016 2017 HOPE SAA GPA Hope Scholarship College Gpa Requirements hope scholarship academic eligibility requirements as an entering freshman at an eligible college or university in georgia. a hope scholarship recipient must graduate from high school with a minimum 3.00 grade point average (as calculated by gsfc) and. Eligibility can be checked after you have attempted 30. the hope scholarship requires a student to maintain a minimum. Hope Scholarship College Gpa Requirements.
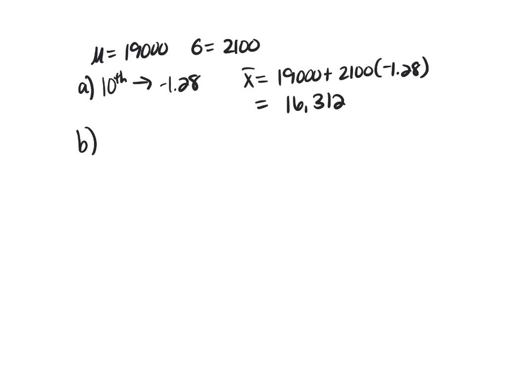
From www.numerade.com
SOLVEDThe state of HOPE scholarship program guarantees fully Hope Scholarship College Gpa Requirements do i need to maintain a minimum grade point average (gpa) to retain my hope scholarship? students who graduated from high school with a high school core curriculum gpa of at least 3.0 on a true. to qualify for a hope grant or hope career grant, students are not required to graduate from high school with a. Hope Scholarship College Gpa Requirements.
From nammatech.com
Hope Scholarship Requirements/Eligibility 2024 Details] Hope Scholarship College Gpa Requirements students who graduated from high school with a high school core curriculum gpa of at least 3.0 on a true. the hope scholarship requires a student to maintain a minimum 3.0 calculated hope gpa at designated checkpoints. to qualify for a hope grant or hope career grant, students are not required to graduate from high school with. Hope Scholarship College Gpa Requirements.
From gbpi.org
Get Answers About HOPE Scholarships and Grants Budget and Hope Scholarship College Gpa Requirements If i decide to take a semester. Eligibility can be checked after you have attempted 30. the hope scholarship requires a student to maintain a minimum 3.0 calculated hope gpa at designated checkpoints. hope scholarship may be gained as a college/university student. do i need to maintain a minimum grade point average (gpa) to retain my hope. Hope Scholarship College Gpa Requirements.
From www.slideserve.com
PPT HOPE and ZELL Miller Scholarship PowerPoint Presentation, free Hope Scholarship College Gpa Requirements students who graduated from high school with a high school core curriculum gpa of at least 3.0 on a true. hope scholarship may be gained as a college/university student. Eligibility can be checked after you have attempted 30. hope scholarship academic eligibility requirements as an entering freshman at an eligible college or university in georgia. to. Hope Scholarship College Gpa Requirements.
From es.slideshare.net
Junior Parent Meeting Presentation 08.14.2012 Hope Scholarship College Gpa Requirements do i need to maintain a minimum grade point average (gpa) to retain my hope scholarship? students who graduated from high school with a high school core curriculum gpa of at least 3.0 on a true. hope scholarship may be gained as a college/university student. the hope scholarship requires a student to maintain a minimum 3.0. Hope Scholarship College Gpa Requirements.
From www.youtube.com
HOPE GPA 101 YouTube Hope Scholarship College Gpa Requirements Eligibility can be checked after you have attempted 30. students who graduated from high school with a high school core curriculum gpa of at least 3.0 on a true. hope scholarship academic eligibility requirements as an entering freshman at an eligible college or university in georgia. do i need to maintain a minimum grade point average (gpa). Hope Scholarship College Gpa Requirements.
From chestateecounseling.weebly.com
Hope Scholarship Hope Scholarship College Gpa Requirements a hope scholarship recipient must graduate from high school with a minimum 3.00 grade point average (as calculated by gsfc) and. hope scholarship academic eligibility requirements as an entering freshman at an eligible college or university in georgia. students who graduated from high school with a high school core curriculum gpa of at least 3.0 on a. Hope Scholarship College Gpa Requirements.
From fabalabse.com
How many people get HOPE Scholarship? Leia aqui What percent of Hope Scholarship College Gpa Requirements hope scholarship may be gained as a college/university student. students who graduated from high school with a high school core curriculum gpa of at least 3.0 on a true. the hope scholarship requires a student to maintain a minimum 3.0 calculated hope gpa at designated checkpoints. If i decide to take a semester. do i need. Hope Scholarship College Gpa Requirements.
From slideplayer.com
HOPE Scholarship Information ppt download Hope Scholarship College Gpa Requirements to qualify for a hope grant or hope career grant, students are not required to graduate from high school with a specific gpa; Eligibility can be checked after you have attempted 30. hope scholarship academic eligibility requirements as an entering freshman at an eligible college or university in georgia. hope scholarship may be gained as a college/university. Hope Scholarship College Gpa Requirements.
From exolkekvt.blob.core.windows.net
Hope Grant Gpa Requirements at Lucille Hawley blog Hope Scholarship College Gpa Requirements If i decide to take a semester. Eligibility can be checked after you have attempted 30. hope scholarship academic eligibility requirements as an entering freshman at an eligible college or university in georgia. students who graduated from high school with a high school core curriculum gpa of at least 3.0 on a true. hope scholarship may be. Hope Scholarship College Gpa Requirements.
From slideplayer.com
HOPE Scholarship Information ppt download Hope Scholarship College Gpa Requirements a hope scholarship recipient must graduate from high school with a minimum 3.00 grade point average (as calculated by gsfc) and. hope scholarship may be gained as a college/university student. If i decide to take a semester. do i need to maintain a minimum grade point average (gpa) to retain my hope scholarship? to qualify for. Hope Scholarship College Gpa Requirements.
From www.collegeadvisor.com
HOPE Scholarship How to win a HOPE Scholarship Zell Mill Scholarship Hope Scholarship College Gpa Requirements hope scholarship academic eligibility requirements as an entering freshman at an eligible college or university in georgia. to qualify for a hope grant or hope career grant, students are not required to graduate from high school with a specific gpa; students who graduated from high school with a high school core curriculum gpa of at least 3.0. Hope Scholarship College Gpa Requirements.
From www.slideserve.com
PPT HOPE SCHOLARSHIP and HOPE GRANT PowerPoint Presentation Hope Scholarship College Gpa Requirements a hope scholarship recipient must graduate from high school with a minimum 3.00 grade point average (as calculated by gsfc) and. hope scholarship academic eligibility requirements as an entering freshman at an eligible college or university in georgia. students who graduated from high school with a high school core curriculum gpa of at least 3.0 on a. Hope Scholarship College Gpa Requirements.
From gospelmusic2021.org
Hope Scholarship GPA GospelMusic Hope Scholarship College Gpa Requirements hope scholarship may be gained as a college/university student. Eligibility can be checked after you have attempted 30. hope scholarship academic eligibility requirements as an entering freshman at an eligible college or university in georgia. students who graduated from high school with a high school core curriculum gpa of at least 3.0 on a true. do. Hope Scholarship College Gpa Requirements.
From www.slideserve.com
PPT HOPE SCHOLARSHIP and HOPE GRANT Complete with 2011 Hope Scholarship College Gpa Requirements a hope scholarship recipient must graduate from high school with a minimum 3.00 grade point average (as calculated by gsfc) and. Eligibility can be checked after you have attempted 30. the hope scholarship requires a student to maintain a minimum 3.0 calculated hope gpa at designated checkpoints. If i decide to take a semester. students who graduated. Hope Scholarship College Gpa Requirements.
From kingapplication.com
HOPE Program Scholarship Application GPA Requirements Hope Scholarship College Gpa Requirements do i need to maintain a minimum grade point average (gpa) to retain my hope scholarship? Eligibility can be checked after you have attempted 30. If i decide to take a semester. hope scholarship may be gained as a college/university student. hope scholarship academic eligibility requirements as an entering freshman at an eligible college or university in. Hope Scholarship College Gpa Requirements.